市場服務熱線
0574-88350052
背景
脂多糖(lipopolysaccharide,LPS),又稱內毒素,為革蘭氏陰性菌細胞壁外壁的組成成分,可作用于膜受體激活多種細胞(巨噬細胞、上皮細胞、內皮細胞等)信號轉導系統,促進促炎細胞因子和其他炎性介質的合成及釋放,引發炎癥反應。客戶采用LPS誘導RAW264.7巨噬細胞建立體外炎癥模型,使用超聲波細胞粉碎機將蛋白及核酸從炎癥細胞中分離出來,從基因、蛋白相對表達水平方面評估羊棲菜多酚(Hizikia fusiformis polyphenols,HFPs)的抗炎活性,為其在新型抑炎制劑的開發利用提供理論依據。
材料與方法
1.1?棲菜多酚的制備
取?燥?棲菜粉末,加?體積分數60%?醇溶液,使?SCIENTZ-IID超聲輔助浸提(料液?1∶20(m/V)、50 ℃、60 min),抽濾后真空減壓蒸餾去除?醇,獲?棲菜粗多酚溶液,依次采?等體積?油醚、?酸?酯分級萃取,真空減壓蒸餾后凍?(使?SCIENTZ-12N過夜凍?),獲得HFPs粉末。測得HFPs粉末總酚含量為23.67±0.24 mg/g。利??菌?配制成多酚?液,再以細胞培養液稀釋?不同濃度,?于后續實驗。
1.2 炎癥細胞培養
使?完全培養基(含10%(體積分數,下同)胎??清和1%?鏈霉素雙抗DMEM培養基)培養RAW264.7細胞,37 ℃、5% CO2培養,細胞融合度約80%時進?傳代。然后分成3組進?培養:①陰性對照組,僅加?含10%胎??清的DMEM培養基;②LPS陽性對照組,加?含LPS(1μg/mL)和10%胎??清的DMEM培養基刺激24 h;③HFPs+LPS組,經含不同質量濃度(10、20、40、60、80、100、120、140、160、180、200、250、300、350 μg/mL)HFPs和10%胎??清的DMEM培養基培養24 h后,以含LPS(1 μg/mL)和10%胎??清的DMEM培養基刺激24h。
1.3 RAW264.7細胞炎癥相關基因相對表達量的測定
1.2中培養的三組細胞培養結束后棄去培養液,?0.01 mol/L、pH 7.2的磷酸鹽緩沖液(phosphate buffered saline,PBS)清洗細胞2 次,每孔加?500 μL TRIzol試劑,使?SCIENTZ-IID加速破碎細胞協助提取總RNA,超聲參數為:100 W,1 s 開1 s關,共1 min,并將RNA逆轉錄為cDNA。以cDNA為模板,采?SYBR Green嵌合熒光法與引物進?實時熒光定量PCR。測定?的基因(IL-1β、IL-6、TNF-α、COX-2、iNOS)和內參基因次?嘌呤磷酸核糖基轉移酶1(hypoxanthine-guanine phosphoribosyl transferase,hprt1)Ct值,采?2-ΔΔCt法計算?的基因的相對表達量。
1.4 MAPKs、NF-κB信號通路關鍵蛋?相對表達量測定
1.2中培養的三組細胞培養結束后棄去培養液,?0.01 mol/L、pH 7.2的磷酸鹽緩沖液(phosphate buffered saline,PBS)清洗細胞2 次,加?200 μL RIPA細胞裂解液,使?SCIENTZ-IID加速破碎細胞協助提取蛋?質,超聲參數為:100 W,1 s 開1 s關,共1 min,離?(12000 r/min、4 ℃)10 min取上清液。采?BCA蛋?質量濃度測定試劑盒測定各組蛋?濃度,?蛋?上樣緩沖液調整蛋?質量濃度為2 mg/mL,95 ℃加熱10 min使蛋?變性然后進???烷基硫酸鈉-聚丙烯酰胺凝?電泳分離;濕轉到聚偏?氟?烯膜;5%(質量分數)脫脂奶粉(TBST溶液配制)封閉1 h;?抗4 ℃孵育12 h;?抗室溫孵育2 h;加?ECL試劑進?顯?反應,測定蛋?條帶灰度值。以β-actin為內參,?的蛋?包括iNOS、p65、p-p65、p38、p-p38、JNK和pJNK,分別以p-p38/p38、p-JNK/JNK、p-p65/p65表?相應蛋?磷酸化?平。
結果與分析
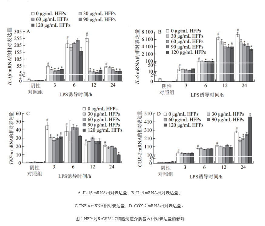
01.RAW264.7細胞炎癥相關基因相對表達量的測定結果
采?實時熒光定量PCR測定HFPs對LPS誘導的巨噬細胞中重要促炎細胞因?IL-1β、IL-6和接觸式超聲在胞內蛋?及核酸提取過程中的應?TNF-α基因相對表達量,以及炎癥相關酶COX-2基因相對表達量的影響。如圖1所?,LPS刺激不同時間后,所有炎癥介質的mRNA表達?平均顯著提?(P<0.05)。HFPs對促炎細胞因?的抑制作?與其劑量、LPS誘導時間及細胞因?種類相關。與LPS組相?,靜息狀態細胞經HFPs處理再經LPS誘導12、24 h后,IL-1β和IL-6的基因相對表達量顯著下降;HFPs顯著抑制LPS誘導3 h后TNF-α基因的相對表達,?在LPS誘導6?24 h的抑制作?總體不明顯。在LPS誘導24 h,較低劑量HFPs(30、60 μg/mL)預處理對COX-2基因表達具有顯著抑制作?,但提?劑量后該抑制效果消失,甚?出現反向促進作?,120 μg/mL HFPs預處理促使COX-2相對表達量較LPS組顯著上升(P<0.05)。

02.MAPKs、NF-κB信號通路關鍵蛋?相對表達量測定結果
采?蛋?免疫印跡法測定巨噬細胞中MAPKs和NF-κB信號通路關鍵蛋?的磷酸化?平。如圖2所?,與陰性對照組相?,LPS刺激3 h后細胞中p38、JNK和p65蛋?的磷酸化?平顯著升?(P<0.05)。90、120 μg/mL HFPs預處理對LPS誘導的巨噬細胞中p38和p65的磷酸化產?顯著抑制作?(P<0.05),且呈?定的劑量依賴性,但對JNK的磷酸化沒有顯著影響,表明HFPs的抗炎作?可能與其靶向作?于p38 MAPK和NF-κB p65有關。

總結
客戶采?LPS誘導RAW264.7巨噬細胞建?體外炎癥模型,使?超聲波細胞粉碎機將蛋?及核酸從炎癥細胞中分離出來,從基因、蛋?相對表達?平??評估?棲菜多酚(Hizikia fusiformispolyphenols,HFPs)的抗炎活性,為其在新型抑炎制劑的開發利?提供理論依據。超聲波細胞粉碎機在整個實驗中起到作?如下:
1. 輔助提取?棲菜中多酚組分,加速多酚組分釋放,縮短了提取進程,后續通過凍?步驟即可獲得?棲菜多酚粉末,溶解后備?;
2. 搭配TRIzol試劑對細胞中總RNA進?提取,試劑中含有苯酚,可加速細胞破碎和核酸釋放,還加?核酸酶抑制物質防?RNA降解,PCR結果表明提取的RNA濃度與純度較好,可?于相關基因表達情況的分析;
3. 搭配RIPA裂解液對細胞中的蛋?質進?提取,?幅減少原本冰上裂解所需時間(30 min),試劑中含有的蛋?酶抑制劑可防?蛋?降解,還含有磷酸酶抑制劑,防?蛋?提取后的再修飾,更好測定蛋?磷酸化狀態。
企業抖音號
企業公眾號新芝生物專業研發生產超聲波細胞粉碎機、超聲波清洗機和超聲波細胞破碎儀等各種科研實驗儀器與工業化生產設備
Copyright ? 2018-2024 m.bjmb500.cn All Rights Reserved. 網站地圖 XML 舊版首頁
浙ICP備12028246號-1 互聯網藥品信息服務資格證書:(浙)-非經營性-2018-0084
浙公網安備 33020902000538號 技術支持:和眾互聯